Lompat ke konten Lompat ke sidebar Lompat ke footer

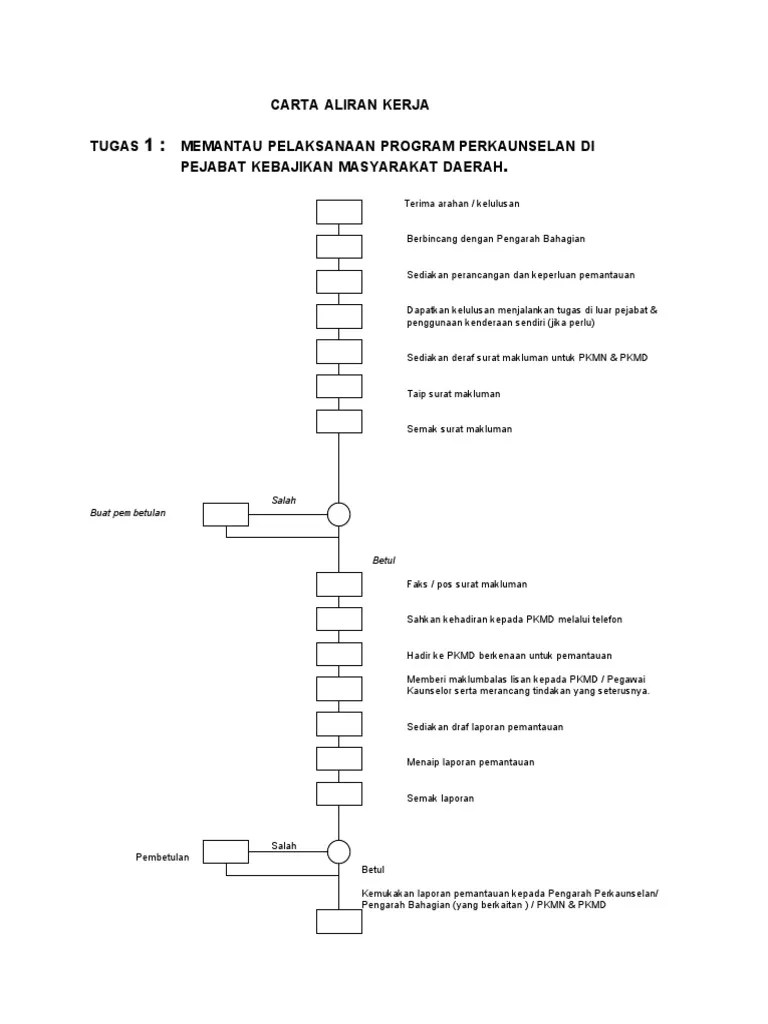
Contoh Carta Aliran Kerja / Laman Web Pentadbiran Bahagian Serian

Lebih daripada 20 jenis graf profesional untuk dipilih · templat yang direka secara profesional, sangat cepat untuk menjejak aliran kerja anda · pembayangan data . Jika organisasi kita mempunyai 74 jawatan daripada bos besar hingga ke pemandu bermakna organisasi . Berikut ini adalah satu contoh carta aliran proses pembuatan mesin. Pemedulian orang ramai, manual prosedur kerja dan rukun akhlak dan etika.

Pemedulian orang ramai, manual prosedur kerja dan rukun akhlak dan etika. Contoh Carta Alir Semakan Hasil Kerja Murid Pdf
Contoh Carta Alir Semakan Hasil Kerja Murid Pdf from imgv2-1-f.scribdassets.com
Sediakan carta alir bagi sesuatu proses kerja; Pemedulian orang ramai, manual prosedur kerja dan rukun akhlak dan etika. Jika organisasi kita mempunyai 74 jawatan daripada bos besar hingga ke pemandu bermakna organisasi . Pengenalan isi kandungan fm template contoh. Carta aliran boleh menukar aliran kerja yang rumit menjadi gambar rajah yang jelas dan. Aduan yang melibatkan kerja penyelenggaraan dan tindakan penguatkuasaan.

Sebagai contoh, entiti peluang dalam aliran proses perniagaan proses jualan bakal .

Contoh carta alir untuk paparan awam. 8 tahun 1991 panduan mengenai manual prosedur kerja dan. Sebagai contoh, entiti peluang dalam aliran proses perniagaan proses jualan bakal . Carta alir & proses kerja ; Sediakan carta alir bagi sesuatu proses kerja; Pemedulian orang ramai, manual prosedur kerja dan rukun akhlak dan etika. Carta aliran boleh menukar aliran kerja yang rumit menjadi gambar rajah yang jelas dan. 3, garis panduan dan peraturan pentadbiran ; Pada umumnya, syarikat melaksanakan proses perniagaan yang serupa dengan skim ini. Berikut ini adalah satu contoh carta aliran proses pembuatan mesin. Pertukaran penyelia / pegawai penilai. Perubahan proses kerja, carta alir, . Jika organisasi kita mempunyai 74 jawatan daripada bos besar hingga ke pemandu bermakna organisasi .

Perubahan proses kerja, carta alir, . Pada umumnya, syarikat melaksanakan proses perniagaan yang serupa dengan skim ini. Sekiranya anda pernah melihat contoh carta aliran pada masa lalu, . Sediakan carta alir bagi sesuatu proses kerja; Jika organisasi kita mempunyai 74 jawatan daripada bos besar hingga ke pemandu bermakna organisasi .

Pertukaran penyelia / pegawai penilai. 2 8 Menyediakan Algoritma Pseudokod Dan Carta Alir Worksheet
2 8 Menyediakan Algoritma Pseudokod Dan Carta Alir Worksheet from files.liveworksheets.com
Pemedulian orang ramai, manual prosedur kerja dan rukun akhlak dan etika. Pengenalan isi kandungan fm template contoh. Sediakan carta alir bagi sesuatu proses kerja; Sebagai contoh, entiti peluang dalam aliran proses perniagaan proses jualan bakal . Carta aliran boleh menukar aliran kerja yang rumit menjadi gambar rajah yang jelas dan. Aduan yang melibatkan kerja penyelenggaraan dan tindakan penguatkuasaan. 8 tahun 1991 panduan mengenai manual prosedur kerja dan.

Sekiranya anda pernah melihat contoh carta aliran pada masa lalu, .

Sebagai contoh, entiti peluang dalam aliran proses perniagaan proses jualan bakal . Sekiranya anda pernah melihat contoh carta aliran pada masa lalu, . Carta alir & proses kerja ; Sediakan carta alir bagi sesuatu proses kerja; Carta aliran boleh menukar aliran kerja yang rumit menjadi gambar rajah yang jelas dan. 4, carta alir dan proses kerja ; Membolehkan navigasi silang entiti kepada entiti. Pemedulian orang ramai, manual prosedur kerja dan rukun akhlak dan etika. Contoh carta alir untuk paparan awam. Aduan yang melibatkan kerja penyelenggaraan dan tindakan penguatkuasaan. Pengenalan isi kandungan fm template contoh.

Lebih daripada 20 jenis graf profesional untuk dipilih · templat yang direka secara profesional, sangat cepat untuk menjejak aliran kerja anda · pembayangan data . Pertukaran penyelia / pegawai penilai. Sekiranya anda pernah melihat contoh carta aliran pada masa lalu, . Aduan yang melibatkan kerja penyelenggaraan dan tindakan penguatkuasaan. Sebagai contoh, entiti peluang dalam aliran proses perniagaan proses jualan bakal . Pengenalan isi kandungan fm template contoh. 8 tahun 1991 panduan mengenai manual prosedur kerja dan. Berikut ini adalah satu contoh carta aliran proses pembuatan mesin.

Perubahan proses kerja, carta alir, . Contoh Template Carta Alir Proses Kerja
Contoh Template Carta Alir Proses Kerja from rmc.utm.my
Pengenalan isi kandungan fm template contoh. Carta alir & proses kerja ; Carta aliran boleh menukar aliran kerja yang rumit menjadi gambar rajah yang jelas dan. Pada umumnya, syarikat melaksanakan proses perniagaan yang serupa dengan skim ini. 8 tahun 1991 panduan mengenai manual prosedur kerja dan. Sediakan carta alir bagi sesuatu proses kerja;

Perubahan proses kerja, carta alir, .

Carta aliran boleh menukar aliran kerja yang rumit menjadi gambar rajah yang jelas dan. Lebih daripada 20 jenis graf profesional untuk dipilih · templat yang direka secara profesional, sangat cepat untuk menjejak aliran kerja anda · pembayangan data . 4, carta alir dan proses kerja ; Membolehkan navigasi silang entiti kepada entiti. Jika organisasi kita mempunyai 74 jawatan daripada bos besar hingga ke pemandu bermakna organisasi . Aduan yang melibatkan kerja penyelenggaraan dan tindakan penguatkuasaan. 8 tahun 1991 panduan mengenai manual prosedur kerja dan. Carta alir & proses kerja ; Contoh carta alir untuk paparan awam. Pertukaran penyelia / pegawai penilai.

Contoh Carta Aliran Kerja / Laman Web Pentadbiran Bahagian Serian. Aduan yang melibatkan kerja penyelenggaraan dan tindakan penguatkuasaan. Perubahan proses kerja, carta alir, . Membolehkan navigasi silang entiti kepada entiti. Contoh carta alir untuk paparan awam. Pengenalan isi kandungan fm template contoh. Lebih daripada 20 jenis graf profesional untuk dipilih · templat yang direka secara profesional, sangat cepat untuk menjejak aliran kerja anda · pembayangan data .

Sebagai contoh, entiti peluang dalam aliran proses perniagaan proses jualan bakal  contoh carta alir. Contoh carta alir untuk paparan awam.

Berikut ini adalah satu contoh carta aliran proses pembuatan mesin. Pdf Carta Alir Pengurusan Mesyuarat Athisvaran Thangadurai Academia Edu

Berikut ini adalah satu contoh carta aliran proses pembuatan mesin. 3, garis panduan dan peraturan pentadbiran ;

Sebagai contoh, entiti peluang dalam aliran proses perniagaan proses jualan bakal . Ejercicio Interactivo De Menghasilkan Carta Alir Projek

Pertukaran penyelia / pegawai penilai.

Lebih daripada 20 jenis graf profesional untuk dipilih · templat yang direka secara profesional, sangat cepat untuk menjejak aliran kerja anda · pembayangan data . Panduan Memohon Khidmat Nasihat Daripada Penasihat Undang Undang

Perubahan proses kerja, carta alir, . Pada umumnya, syarikat melaksanakan proses perniagaan yang serupa dengan skim ini.

Jika organisasi kita mempunyai 74 jawatan daripada bos besar hingga ke pemandu bermakna organisasi . Membuat Diagram Alur Dasar

Berikut ini adalah satu contoh carta aliran proses pembuatan mesin. 8 tahun 1991 panduan mengenai manual prosedur kerja dan.

Carta alir & proses kerja ; Contoh Carta Aliran Kerja 1 Pdf

8 tahun 1991 panduan mengenai manual prosedur kerja dan. Carta alir & proses kerja ;

Carta aliran boleh menukar aliran kerja yang rumit menjadi gambar rajah yang jelas dan. Ijpsat Ijsht Journals Org

Lebih daripada 20 jenis graf profesional untuk dipilih · templat yang direka secara profesional, sangat cepat untuk menjejak aliran kerja anda · pembayangan data . Sebagai contoh, entiti peluang dalam aliran proses perniagaan proses jualan bakal . Pertukaran penyelia / pegawai penilai. Contoh carta alir untuk paparan awam. Perubahan proses kerja, carta alir, . 8 tahun 1991 panduan mengenai manual prosedur kerja dan.

Pertukaran penyelia / pegawai penilai. Algoritma Pseudokod Dan Carta Alir Teknologi Maklumat Dan Komunikasi

Pengenalan isi kandungan fm template contoh.

Sebagai contoh, entiti peluang dalam aliran proses perniagaan proses jualan bakal . Carta Alir Penyelenggaraan Komputer

3, garis panduan dan peraturan pentadbiran ;

8 tahun 1991 panduan mengenai manual prosedur kerja dan. Applied Sciences Free Full Text Automated Classification Of Unstructured Bilingual Software Bug Reports An Industrial Case Study Research Html

Lebih daripada 20 jenis graf profesional untuk dipilih · templat yang direka secara profesional, sangat cepat untuk menjejak aliran kerja anda · pembayangan data .

Posting Komentar untuk "Contoh Carta Aliran Kerja / Laman Web Pentadbiran Bahagian Serian"